I wanted to supply Whitehall citizens with budget numbers that, unless you make a records request, City Hall doesn’t just offer up. They are from the ‘budget appropriations’ of various years showing appropriations for that year or coming years. They also include the actual numbers from previous years. For the sake of this post, I am focusing on what they’ve actually spent, as opposed to what they’ve appropriated. Its always interesting to look at it, particularly with previous years to see how spending has increased.
I’ll include every category of City Hall except Civil Service; there’s very little change in that and its not something anyone ever really cares about. Sometimes the sheets will include previous years and so those numbers will suffice instead of showing every single year. I’ll begin each category with the paperwork and then add my comments after the category.
INCOME:









So, this is where we get most of our income. You’ll note that the vast majority of it is ‘income tax’ (which in large part comes from DSCC). About 90% of our income comes from income tax. These are really worth a good look to see where our income is derived from.
OVERALL DEPARTMENT EXPENSES (Remember, the 1st 3 columns are the most reliable as actual spending):



Some BIG leaps in spending in these departments. The most notable are the Auditor/Treasurer’s office, the Mayor’s office and Parks and Rec.; started in the 700’s and is now over a million. Next is WHERE all that money is spent.
AUDITOR/TREASURER:




Increases largely due to heftier and heftier income tax refunds.
CITY ATTORNEY:




COUNCIL:



FIRE DEPARTMENT:



HUMAN RESOURCES:



MAYOR’S OFFICE:



The Mayor’s expenses have more than doubled in ten years.
PARKS AND RECREATION:



Parks and Rec’s spending is now over $1,000,000!!
POLICE:



SERVICE DEPARTMENT:



STREET DEPARTMENT:






CAPITAL IMPROVEMENTS:











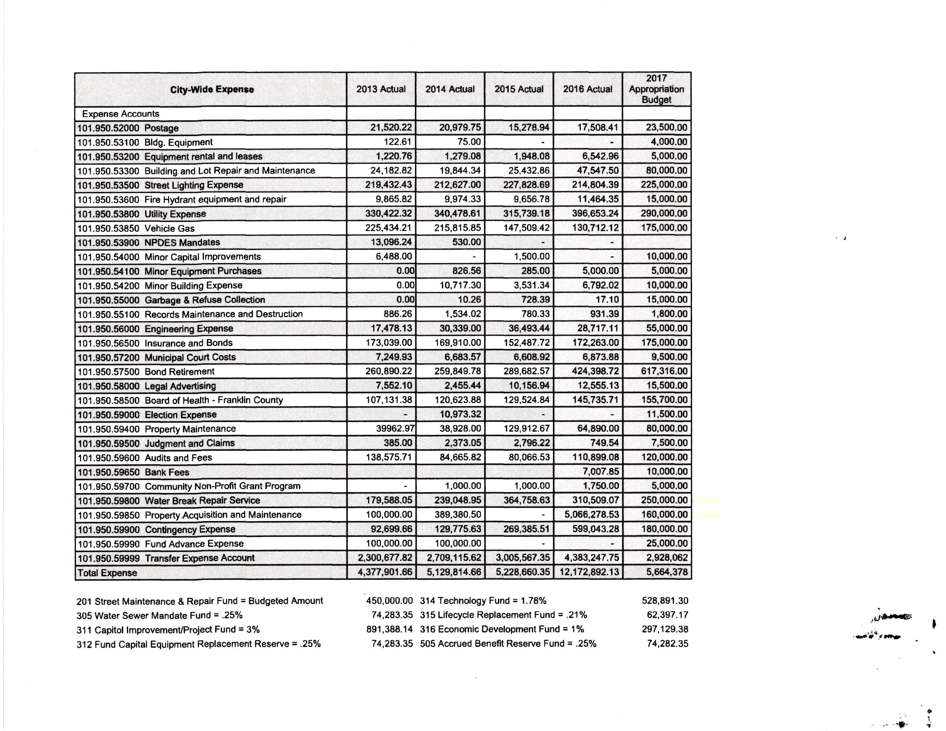
CITY-WIDE EXPENSES:



TECHNOLOGY EXPENSES:




Tech rose nearly $700,000 in 8 years.
EMPLOYEE BENEFITS:



As you see, employee benefits rose 3.5 million in 10 years.
VEHICLE EXPENSES:







As one can see, there is alot of information to unpack. Having the facts and figures gives you insight into the truth.
Pingback: AN OPEN LETTER TO WHITEHALL COUNCIL REGARDING THE PROPOSED UTILITY SURCHARGE | Whitehall Watchblog