Whitehall Watchblog
A citizen's accounting of Whitehall governance
Skip to content
  • New item
← WOODCLIFF V WHITEHALL: THE CITY OF WHITEHALL’S EXTREMELY PREMATURE PLANS FOR LAND THEY DIDN’T OWN.
WOODCLIFF V WHITEHALL NEWS FROM COUNCIL CHAMBERS… →

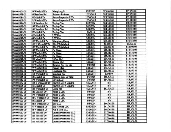
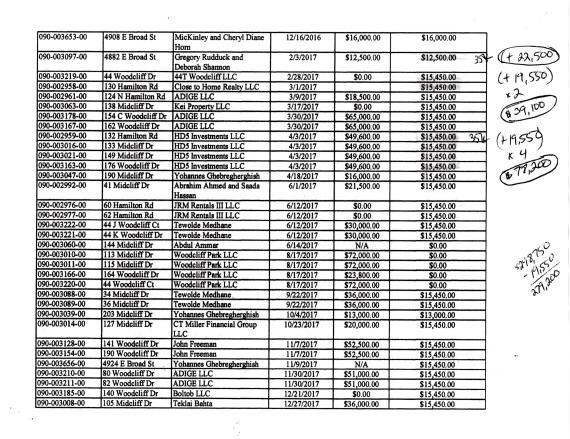
WOODCLIFF V WHITEHALL (PART 6): DOCUMENTS SHOWING DISPARITY OF MONETARY DISTRIBUTION AND UNJUST PAYOUTS TO OWNERS

Posted on May 7, 2018 by Gerald Dixon

From the public record:

Woodcliff distribution list 1

 

Woodcliff distribution list 2

Woodcliff distribution list 3

Woodcliff distribution list 4

 

Woodcliff distribution list 6

Woodcliff distribution list 7

Woodcliff distribution list 8

Woodcliff distribution list 9

Woodcliff distribution list 10

Woodcliff distribution list 11

Share this:

  • Share on X (Opens in new window) X
  • Share on Facebook (Opens in new window) Facebook
  • More
  • Share on Reddit (Opens in new window) Reddit
  • Share on Pinterest (Opens in new window) Pinterest

Related

Unknown's avatar

About Gerald Dixon

Born and raised in Whitehall Ohio. Graduated WYHS class of 1980. Pursued acting career, NYC '88 to '95 and '03 to '08, Los Angeles '97 to '03. Purchased family home on Doney St. in '07 where I currently live.
View all posts by Gerald Dixon →
This entry was posted in Uncategorized. Bookmark the permalink.
← WOODCLIFF V WHITEHALL: THE CITY OF WHITEHALL’S EXTREMELY PREMATURE PLANS FOR LAND THEY DIDN’T OWN.
WOODCLIFF V WHITEHALL NEWS FROM COUNCIL CHAMBERS… →
  • Recent Posts

    • THE ONLY DEBATE THE CITIZENS WILL GET BETWEEN GERALD DIXON AND TIFFANIE CHARLES HAVER
    • MY ENDORSEMENTS FOR WARD CANDIDATES 2025
    • POLITICAL MEMO FROM CANDIDATE GERALD DIXON: THE CASE AGAINST MICOLE SPICER FOR THE WARD 2 COUNCIL SEAT
    • Memo From Candidate Gerald Dixon: Ward 2 Council Race
    • WHAT TO EXPECT IN THE NEXT WEEK FROM THE STATUS QUO IN THE WARD 1 CAMPAIGN (IF HISTORY INFORMS US)
    • WARD 1 COUNCILOR CHRIS RODRIGUEZ LEADS COUNCIL CHARGE TO TAKE AWAY YOUR VOTING RIGHTS
    • AN OPEN LETTER TO WHITEHALL COUNCIL REGARDING THE PROPOSED UTILITY SURCHARGE
    • CITY HALL WANTS YOU TO PAY FOR THEIR IRRESPONSIBLE SPENDING: THE UTILITY $URCHARGE I$$UE
    • SELL AND SPIN: WHITEHALL’S CAMPAIGN TO SELL COUNCIL AND THE PUBLIC ON THE UTILITY SURHARGE
    • ORIGINAL CITY HALL ARGUMENTS FROM 2010 TO RAISE THE CITY INCOME TAX TO 2.5%
    • INTERESTING CITY HALL SPENDING ARTIFACTS
    • WHITEHALL’S SPENDING NUMBER$$ FOR THE LAST 10 YEARS OR SO
    • IMPORTANT THINGS TO KEEP IN MIND ABOUT WHITEHALL IN 2021: PART ONE, THE NEW TRASH CONTRACT: A FINAL ANALYSIS
    • COMMITTEE TASKED FINDING SOLUTIONS FOR JUVENILES SELLING WATER versus VESTED INTERESTS OF COMMITTEE
    • THE COLUMBUS URBAN LEAGUE’S ‘WATER BOTTLE PLEDGE’
    • CITY ATTORNEY AND HIS OUTRAGEOUS ARGUMENT TO COUNCIL re: KIDS SELLING ITEMS ON CITY STREETS
    • WHITEHALL GOVERNMENT’S MINIMIZING, BRUSHING ASIDE AND CONFUSION OF LEGITIMATE COMMUNITY CONCERNS, i.e. JUVENILES BEHAVIOR WHILE SELLING ON STREETS
    • USE OF THE TERM ‘RACISM’ BY OFFICIALS AT WHITEHALL CITY HALL: A CITIZEN’S RESPONSE
    • THE ROUND-ROBIN, BUCK-PASSING IRRESPONSIBILITY OF WHITEHALL CITY HALL
    • COMMUNITY SOLUTIONS FOR KIDS ON STREETS SELLING WATER
    • THE MAGGARD ADMINISTRATION’S SELECTIVE FIGHT FOR CITIZEN’S QUALITY OF LIFE
    • A WORD ON COUNCILOR ELMORE’S ADVICE REGARDING SOCIAL MEDIA
    • THE MESS THAT IS THE PROPOSED BACKYARD PARKING LEGISLATION
    • COUNCIL COMMITTEE MEETING TAKEAWAY
    • PUTTING 2 AND 2 TOGETHER: MY REPLY TO CITY HALL’S DEFENSE OF BACKYARD PARKING LEGISLATION
    • GOVERNMENTAL EXTORTION
    • WHITEHALL GOVERNMENT IS SPYING INTO YOUR BACKYARDS (PHOTOS)
    • WHITEHALL GOVERNMENT’S INFRINGMENT ON YOUR RIGHTS
    • CLEARING THINGS UP: WITH GERALD DIXON
    • WHY CAMPAIGN WHEN YOU’VE ALREADY GOT THE JOB?
    • THE ETHICAL WRONG, AND TRUTH, OF KIM MAGGARD’S ELECTIONEERING EFFORTS
    • MY THOUGHTS AND PLANS FOR MY TIME ON COUNCIL: 2019 UPDATE
    • THE WRONGFUL INFLUENCE OF MAYOR MAGGARD’S SIGNS
    • THE SAD ONGOING TRASH SITUATION IN WHITEHALL
    • STEWARDS OF THE BLOCK: AN APPRECIATION FOR THE UNSUNG GUARDIANS OF WHITEHALL’S SAFETY
    • WHY I REFUSE TO ‘DUMB DOWN’ ANYTHING FOR WHITEHALL CITIZENS
    • IMPACTING OUR COMMUNITY: THE WHITEHALL WORKS DEVELOPMENT BLUEPRINT
    • THE OHM REPORT ON WHITEHALL’S FUTURE: MY OBSERVATIONS
    • THE DEFLECTION, DILUTING AND DISTORTION OF THE CORRUPTION PROBLEM AT CITY HALL versus DEFINING THE TRUTH WITH FACTS
    • WHAT CANDIDATE’S PETITION STATS REVEAL ABOUT WHITEHALL CITY HALL’S STATUS QUO
    • PRAISE FOR WHITEHALL CITY COUNCIL…HALLELUJAH JESUS, IT’S A CHRISTMAS MIRACLE!!
    • TIME MAGAZINE PERSONS OF THE YEAR: THE GUARDIANS (ANYTHING LOOK FAMILIAR?)
    • DOG PARK PLANNING MEETING
    • HOW TO BE TRUSTWORTHY: A CITY HALL PRIMER
    • DOG PARK DISRESPECT
    • THE ELECTION DAY BEHAVIOR OF 2018 WHITEHALL CHARTER REVIEW COMMISSION MEMBER KIM BENTLEY
    • CITY OF WHITEHALL 2019 BUDGET PROPOSAL
    • EXPENDITURES FOR SELF-PROMOTIONAL POSTCARDS
    • INTERESTING GROUP OF CITY HALL RECORDS: SALARIES, TAX ABATEMENTS, LOANS
    • COMMITTEE TO EXTEND PROGRESS: THE HYPE AND FALLACIES
    • OUR MAYOR BLATANTLY VIOLATING THE PUBLIC TRUST. TAKE A QUICK LOOK FOR YOURSELF.
    • THE ‘COMMITTEE TO EXTEND PROGRESS’ (YES ON ISSUE 37) FINANCIALS: THE INITIAL BREAKDOWN ($$$$$$$$$$)
    • IN ANSWER TO THOSE WHO INSIST I ‘HATE’ WHITEHALL AND IF I DON’T LIKE IT I SHOULD JUST LEAVE
    • OMG! HOLY #*@%!
    • CURRENT ELECTED WHITEHALL OFFICIALS AS ARCHITECTS OF PROGRESS: THE FALLACY
    • WHITEHALL WATCHBLOG WORD CLOUD
    • WHAT’S AT STAKE
    • WHITEHALL LEADER’S A TO Z MANIPULATION LEADING TO ISSUE 37 (THE TERM LIMITS QUESTION)
    • THE DISRESPECTFUL, UNPROFESSIONAL IMMATURITY OF WHITEHALL COUNCILMAN BOB BAILEY AND COUNCIL-PRESIDENT JIM GRAHAM
    • WHITEHALL COUNCIL PRESIDENT JIM GRAHAM, ‘FREE MONEY’ AND A CITIZEN’S ATTEMPTS TO BE HEARD
    • THE WHITEHALL MATH TEST: 10-YEAR OLD PLANS FOR RE/DEVELOPMENT + CITY OFFICIAL’S TOUGH-TALK = ?
    • WOODCLIFF v WHITEHALL: THE CITY HALL SELL JOB EDITION (WITH COUNTER-ARGUMENTS!)
    • WOODCLIFFE V WHITEHALL (TAXPAYER EDITION $$$$$$$$$$$$$$$$$)
    • WHITEHALL CHARTER REVIEW RECOMMENDATIONS GOING TO THE BALLOT
    • TERM LIMITS LEGISLATION
    • I WISH…
    • WHITEHALL CITY COUNCIL’S ARGUMENTS REGARDING TERM LIMITS (AGAIN!)
    • COUNCILMAN BOB BAILEY: RIF
    • WOODCLIFF V WHITEHALL NEWS FROM COUNCIL CHAMBERS…
    • WOODCLIFF V WHITEHALL (PART 6): DOCUMENTS SHOWING DISPARITY OF MONETARY DISTRIBUTION AND UNJUST PAYOUTS TO OWNERS
    • WOODCLIFF V WHITEHALL: THE CITY OF WHITEHALL’S EXTREMELY PREMATURE PLANS FOR LAND THEY DIDN’T OWN.
    • WOODCLIFF v WHITEHALL (Part Five) OWNERS STORIES
    • WHY OUR CITY COUNCIL DESERVES A CAMERA IN THE COUNCIL COMMITTEE MEETINGS
    • WHITEHALL CHARTER REVIEW MEETING APRIL 23RD: DISCUSSION TIME
    • THE ETHICAL COROLLARY BETWEEN WHITEHALL GOVERNANCE AND STEVEN SPIELBERG’S ‘THE POST’
    • THE POLICE REPORT
    • THE UNPROFESSIONAL CONDUCT OF COUNCIL PRESIDENT JIM GRAHAM AND CITY AUDITOR DAN MILLER. (VIDEO! rated PG-13 for salty language)
    • CONFLICTS OF INTEREST: A CLARIFICATION
    • WHITEHALL POLICE BODY CAMERAS
    • WHITEHALL CHARTER REVIEW COMMISSION: MEETING TWO
    • WHITEHALL COUNCILPERSONS BAILEY, CONISON, KANTOR, RODRIGUEZ, MORRISON, HECK AND ELMORE. WHERE IS YOUR MORALITY?!
    • THE BULLSH*T OF OUR WHITEHALL CITY COUNCIL (THE BREVITY VERSION)
    • THE BULLSH*T OF OUR WHITEHALL CITY COUNCIL
    • YouTube KITTENS!!! jk WHITEHALL CHARTER REVIEW COMMISSION: MEETING ONE
    • WOODCLIFF v WHITEHALL (PART 4.1) Legal Expenses
    • WOODCLIFF v WHITEHALL (PART FOUR!!!)
    • WOODCLIFF v WHITEHALL (Part Four?)
    • CHARTER REVIEW COMMISSION: Thoughts, concerns, analysis and predictions
    • Whitehall Charter Review Commission 2018
    • 2018 CITY OF WHITEHALL EXPENSES
    • WARD ONE ELECTION 2017: A FINAL ANALYSIS
    • THE POLITICS OF PERCEPTION: THE UNDERLYING TRUTH WHITEHALL’S LEADERS DON’T SEE, UNDERSTAND OR CHOOSE TO IGNORE
    • THE QUESTIONING OF MY LOVE OF COUNTRY AND THOSE WHO SERVE IT
    • A CITIZEN-CENTRIC IDEA FOR WHITEHALL COUNCIL (VIDEO)
    • COUNCIL’S MORAL RESPONSIBILITY (VIDEO)
    • THE RESPONSIBILITY OF CANDIDATES TO INFORM VOTERS
    • WHITEHALL WARD 1 COUNCILMAN CHRIS RODRIGUEZ’ OFFICIAL RECORD PART TWO: THE CRITICAL SUMMARY (audio only)
    • WHITEHALL WARD 1 COUNCILMAN CHRIS RODRIGUEZ’ OFFICIAL RECORD PART ONE: THE RECORD (audio only)
    • FOUR FUNDAMENTAL ETHICAL PRINCIPLES
    • THE UNDERPINNINGS OF GOVERNMENTAL COMPLIANCE
    • WHITEHALL: BORN AND BRED
    • WHITEHALL WARD 1 COUNCILMAN CHRIS RODRIGUEZ: A REVEALING INDICTMENT OF HIS OFFICIAL RECORD
    • SHOULDN’T I KNOW MORE ABOUT THAT GUY WHO WANTS ME TO VOTE FOR HIM? PART TWO: ETHICS
    • WHITEHALL MAYOR KIM MAGGARD’S RIGHTFUL ACCOMPLISHMENTS
    • MY CAMPAIGN WISH LIST FOR MY TIME ON WHITEHALL COUNCIL
    • THE UGLY TRUTH OF KIM MAGGARD, THE FRANKLIN COUNTY DEMOCRATIC PARTY AND THE WHITEHALL DEMOCRATIC CLUB
    • SHOULDN’T I KNOW MORE ABOUT THAT GUY WHO WANTS ME TO VOTE FOR HIM? PART ONE
    • THE POLITICS OF PERCEPTION
    • GIVING A DAMN ABOUT THE POOR
    • POSITIVE CAMPAIGNING: A MORE THOROUGH UNDERSTANDING OF SUNSHINY PHRASES
    • AN ODE TO THE PAR-4 LOUNGE AND OTHER RELICS FROM WHITEHALL’S PAST
    • CITY HALL IS NOT THERE TO ACT AS A FRIENDSHIP SOCIAL
    • WOODCLIFF V WHITEHALL: WHAT LIES BENEATH… AN UPDATE
    • APPROPRIATIONS FOR THE 2016 CITY OF WHITEHALL BUDGET
    • COUNCILMAN RODRIGUEZ’ STATEMENT AND MY REBUTTAL
    • THE ARGUMENT FOR COUNCILMAN RODRIGUEZ’ RESIGNATION
    • REBUTTALS AND INSIGHTS
    • POST-ELECTION SUMMARY
    • A FINAL WORD (IN VIDEO FORM!)
    • LOOSE ENDS
    • MY ARGUMENT IN FAVOR OF LESLIE LACORTE FOR MAYOR OF WHITEHALL
    • THE PETTY TYRANNY OF WHITEHALL CODE ENFORCEMENT (PART FIVE) ***CITY COUNCIL EDITION***
    • MY ARGUMENT AGAINST KIM MAGGARD FOR MAYOR OF WHITEHALL
    • THE PETTY TYRANNY OF WHITEHALL CODE ENFORCEMENT (PART FOUR)
    • WOODCLIFF v WHITEHALL (PART THREE) THE BLIGHT OF MAYOR MAGGARD
    • WOODCLIFF v WHITEHALL (PART TWO) THE PIRATES OF WHITEHALL
    • WOODCLIFF v WHITEHALL: WHAT LIES BENEATH
    • THE PETTY TYRANNY OF WHITEHALL CODE ENFORCEMENT (PART 3)
    • THE PETTY TYRANNY OF WHITEHALL CODE ENFORCEMENT (PART TWO)
    • LETTERS TO THE EDITOR #2: AGGRESSIVE CODE ENFORCEMENT
  • Whitehall Counterpoint

    Whitehall Counterpoint
  • My Poll Public Readings

    • View Whitehall Counterpoint’s profile on Facebook
    • YouTube
    • Vimeo
  • Top Posts & Pages

    • WHY WHITEHALL'S GOVERNANCE IS SO AWFUL AND BROKEN
    • AN ODE TO THE PAR-4 LOUNGE AND OTHER RELICS FROM WHITEHALL'S PAST
    • CITY ATTORNEY AND HIS OUTRAGEOUS ARGUMENT TO COUNCIL re: KIDS SELLING ITEMS ON CITY STREETS
    • POLITICAL MEMO FROM CANDIDATE GERALD DIXON: THE CASE AGAINST MICOLE SPICER FOR THE WARD 2 COUNCIL SEAT
    • Author's Bio
    • WOODCLIFF v WHITEHALL: WHAT LIES BENEATH
    • LOOSE ENDS
    • MY CAMPAIGN WISH LIST FOR MY TIME ON WHITEHALL COUNCIL
    • IN ANSWER TO THOSE WHO INSIST I 'HATE' WHITEHALL AND IF I DON'T LIKE IT I SHOULD JUST LEAVE
    • COMMUNITY SOLUTIONS FOR KIDS ON STREETS SELLING WATER
  • Goodreads

  • Whitehall Counterpoint

    Whitehall Counterpoint
  • Institute for Justice

    Institute for Justice
Whitehall Watchblog
Blog at WordPress.com.
  • Subscribe Subscribed
    • Whitehall Watchblog
    • Already have a WordPress.com account? Log in now.
    • Whitehall Watchblog
    • Subscribe Subscribed
    • Sign up
    • Log in
    • Copy shortlink
    • Report this content
    • View post in Reader
    • Manage subscriptions
    • Collapse this bar
 

Loading Comments...
 

You must be logged in to post a comment.