We’ve all seen the postcards (left), mailers and yard signs in Whitehall put out by the ‘Committee to Extend Progress’ urging voters to ‘extend the progress’ in Whitehall.
Their point, as first made by the 2018 Charter review members, was that things are going good now and so it would be a shame to not extend that progress by giving those responsible for it one more term; thus then the reason for extending the traditional two term limit to an unprecedented three in Whitehall (why not make it 5! or 10! ‘Keep term limits to 10!’). As such then, that ‘progress’ is something which the current officeholders have enacted in Whitehall and as such, like the Charter Review people urged, should be afforded more years for even more progress. Given the public record I can’t help but see the inaccuracy of its logic. Here is why:
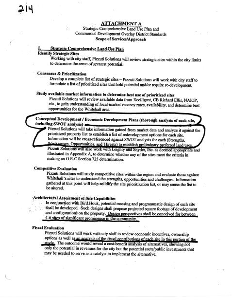
In 2006, twelve years ago, Mayor Lynn Ochsendorf signed legislation that entered into a contract with Pizzuti Solutions to develop a ‘Strategic Comprehensive Land Use Plan’. That which was executed and which is continuing under the current Maggard administration. So then, it was actually Mayor Ochsendorf, two mayors ago, who started this ‘progress’ and both Mayor Wolfe and Mayor Maggard have simply both ‘extended’ that progress which someone else started. Proving then that Mayor Maggard and her ‘team’ aren’t the end-all, be-all they’d like you to believe they are. In truth they’re merely the latest stewards, in a line of stewards going back 12 years, of the progress Mayor Ochsendorf’s plan initiated! Everything that has come of this plan has been worked on and developed over 12 years (including by newbies in their offices like Kim Maggard and Bob Bailey and Lori Elmore, etc., etc., etc. They were able, as newbies, to ‘extend the progress’ but now that they’re in, other newbies can’t do the same? And they need a ballot issue to extend it for them to prevent other newbies to do what they as newbies did? As my Father used to say, “Bullshit!”).
(Some of those who were there at the time, btw, are still in City Hall: Jim Graham, as well as the Strom Thurmond of Whitehall: Chris Rodriguez)
So, when they characterize themselves as ‘leaders’ and ‘visionaries’, I’m not buying it. If there are any visionaries in this story, they are ones at the Mid-Ohio Regional Planning Commission or a community advancing firm like OHM who Whitehall wants to do business with. Otherwise, she and other elected leaders are merely the ‘progress extenders’ of someone else’s work. The elected leaders who came after other elected leaders and helped further someone else’s ‘progress’. That extension of progress this campaign suggests other, newer candidates, are either less likely to attain or are incapable of doing so like those currently serving. I say, ‘baloney’.



Notice the term SWOT (strengths, weaknesses, opportunities and threats) You’ll se an example of this in the last photo, below.






Here is the ‘SWOT’ as it pertains to Woodcliff
You must be logged in to post a comment.